Hong Kong Law Society Logo
EN
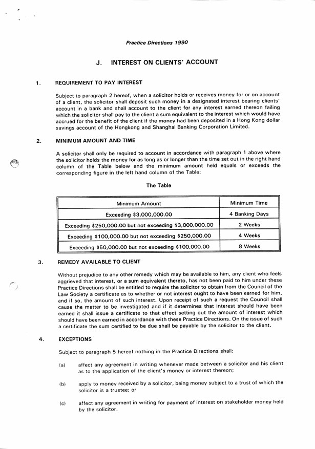
EN繁體简体
Hong Kong Law Society Logo
LOGIN Find Legal Services Contact Us
Find Legal Services Contact Us
EN
EN繁體简体
Hong Kong Law Society Logo
LOGIN
  • lawsoc logo
  • About the Society

    About the Law Society

    About the Society

    The Law Society of Hong Kong is a professional association for solicitors in Hong Kong vested with statutory powers to regulate the professional conduct of solicitors, trainee solicitors and foreign lawyers. It was incorporated in 1907 as a company limited by guarantee.

    Discover

    • Our Profile
    • Aim and Function
    • Governance Structure
    • Annual Report
    • Profile of the Profession
    • Overview of 2026 Fees Schedule
    • Career at the Law Society
  • Our Voice

    Our Voice

    Our Voice

    The Law Society speaks for the solicitors’ profession in Hong Kong and ensures our voice are accurately and purposefully communicated to relevant parties

    Discover

    • Press Statements
    • Law Society Submissions
    • Official Journal (Hong Kong Lawyer)
    • Changing Times, Steadfast Purpose: The Law Society At 115
  • Support Members

    Support Members

    Support_member_1

    The Law Society is dedicated to providing relevant and effective support to our members including professional training and legal practice updates.

    Discover

    • Login Members' Zone
    • Professional Support
    • Holiday / Special Temporary Closing Arrangement for Law Firms
    • Registration and Payment
    • Use of IT in Court
    • Law Society Mobile App
  • Maintain Standards

    Maintain Standards

    maintain_standard_2

    The Law Society is committed to facilitating the attainment and maintenance of the highest professional standards by our members in the interest of the community

    Discover

    • Admission Standards
    • Law Society Membership
    • Training Standards
    • Practice Standards
    • Complaints of Professional Misconduct
    • Intervention
    • Frequently Asked Questions
  • Reach Out and Connect

    Reach Out and Connect

    Reach_out_2

    The Law Society reaches out and maintains a wide local and global network for knowledge exchange, experience sharing and collaboration between our members and different sectors of both the local and international communities.

    Discover

    • International Desk
    • Greater China Desk
    • Bridging Cross-Border Business Opportunities
    • Sports Law Mega Event 2025
  • Serve the Public

    Serve the Public

    Serve_the_public_2

    The Law Society strives to raise general public legal awareness, facilitate public access to legal services and promote a culture of giving back to the community among our members.

    Discover

    • The Law List
    • List of Legal Service Providers
    • Pro Bono Legal Services
    • Everyday Life Legal Issues
    • Professional Indemnity Scheme
    • Flagship Community Projects
    • Pro Bono and Community Work Recognition Programme 2025
    • Recognition of Members’ Contribution
    • Publications and Souvenirs for Sale
    • Scam Alert
    • How to Advertise
  • Members' Zone
  • All About the Society Our Voice Support Members Maintain Standards Reach out and Connect Serve the Public

    Popular Legal Service List

    The Law Society’s Law ListSolicitor AdvocatesNotary PublicChina Appointed Attesting OfficersCivil Celebrants of MarriagesArbitratorsMediatorsParenting Co-ordinatorsDirectory of Law Firms

Keywords: Or ( 27,904 Results from Document Category )
Webpage Document Legal Service

attachmentaspissue19144a1 doc

Members
Only
You don't have access right to view the details. Please login.

attachmentaspissue18218a1 pdf

Members
Only
You don't have access right to view the details. Please login.

attachmentaspissue1195a1 pdf

Members
Only
You don't have access right to view the details. Please login.

attachmentaspissue1195a2 pdf

Members
Only
You don't have access right to view the details. Please login.

attachmentaspissue19142a1 doc

Members
Only
You don't have access right to view the details. Please login.

attachmentaspissue19201a1 doc

Members
Only
You don't have access right to view the details. Please login.

attachmentaspissue1195a3 pdf

Members
Only
You don't have access right to view the details. Please login.

attachmentaspissue19147a1 doc

Members
Only
You don't have access right to view the details. Please login.

attachmentaspissue1195a4 pdf

Members
Only
You don't have access right to view the details. Please login.

attachmentaspissue19147a2 doc

Members
Only
You don't have access right to view the details. Please login.

attachmentaspissue19147a3 doc

Members
Only
You don't have access right to view the details. Please login.

attachmentaspissue19147a4 doc

Members
Only
You don't have access right to view the details. Please login.

685 2326

×

Cookies on hklawsoc.org.hk

We employ cookies to improve user experience. By accessing the website of The Law Society of Hong Kong, you will be providing your consent to our use of cookies.

I accept cookies from this site ✓

hklawsoc logo

HIGHLIGHTS

The Law Society of Hong Kong Annual Report 2024

Conditions of UseSitemapPrivacy PolicyPolicy on Anti-Discrimination and Anti-Sexual Harassment

Copyright © 2026 The Law Society of Hong Kong. All Right Reserved.

caring